Background
Hodgkin lymphoma (HL) is one of the most frequent non-AIDS defining neoplasm in people living with HIV (PLWH). Since the widespread use of combined antiretroviral therapy (cART), the incidence of most types of non-Hodgkin lymphoma affecting PLWH have decreased, but the incidence of HL has increased.
The International Prognostic Score (IPS) is the most widely used score for HL. However, its implementation in PLWH is still controversial. Current HL treatment guidelines consider early and advanced stage. In function of the presence of unfavorable risk factors in early stages, an interim PET-CT can be used to guide therapeutic strategy. Unfavorable risk factors have been described by international groups (EORT, GHSG, NCI-C, and NCCN), which are: ≥3-4 involved lymph node areas, elevated RDW, age ≥50 years, ≥1 extranodal involvement and presence of B symptoms. There is a lack of evidence of the impact of this strategy in patients with HIV.
Methods
Retrospective multicentric study of patients with HIV infection diagnosed with HL in 9 hospitals from the GELTAMO group in Spain, from 1995 to 2022. All patients were treated with ABVD and cART +/- radiotherapy. The main clinical and biological variables were collected. Peripheral absolute neutrophil, lymphocyte and monocyte counts were studied, including L/M ratio and CD4 + lymphocyte count. Moreover, serum lactate dehydrogenase (LDH), albumin and RDW were evaluated. Univariable and multivariable analysis were performed using the binary logistic regression model for complete response (CR) rate and Cox proportional-hazards regression model for overall survival (OS) and progression-free survival (PFS). Survival curves were plotted by the Kaplan-Meier method and compared by the log-rank test.
Results
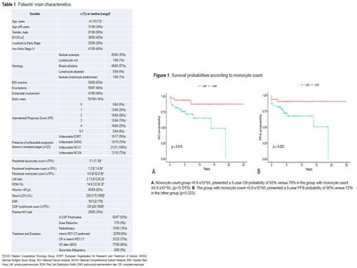
Ninety patients were retrospectively analyzed with a median follow up of 5.89 [0,4;24,78] years. The characteristics of the patients are summarized in Table 1. Extranodal involvement, hemoglobin <105 g/L, leucocytosis, high RDW, hypoalbuminemia and high LDH were associated with worse probabilities of complete response (CR) achievement. In the univariate analysis, bone marrow involvement and monocytes count ≥0.6 x10^9/L were associated with shorter overall survival (OS) and progression free survival (PFR) probabilities. A lymphocyte/monocyte (L/M) ratio <1.09 was associated with shorter PFR probabilities. By multivariable analysis, only monocyte count ≥0.6 x10^9/L emerged as an unfavorable prognostic factor for OS and PFS ( Figure 1). Data about treatment strategy and CR achievement is described in Table 1. Most patients (74%) presented advanced stage and the presence of unfavorable prognostic factors (described by international groups) was detected in most of the patients with localized stages ( Table 1).
Conclusions
High monocyte count is a strong prognostic factor which can be used in PLWH with HL. Most patients with HL and HIV infection present an advanced stage at diagnosis or a localized stage with unfavorable prognosis factors. In patients with localized stage, interim PET-CT guided strategy seems to be feasible.
Disclosures
Garcia-Sanz:Roche: Consultancy, Honoraria; BMS/Celgene: Consultancy, Honoraria, Other: TRAVEL, ACCOMMODATIONS, EXPENSES; Janssen: Consultancy, Honoraria, Other: TRAVEL, ACCOMMODATIONS, EXPENSES, Research Funding, Speakers Bureau; Gilead/Kite: Consultancy, Honoraria, Other: TRAVEL, ACCOMMODATIONS, EXPENSES, Research Funding; Takeda: Consultancy, Honoraria, Other: TRAVEL, ACCOMODATIONS, EXPENSES, Research Funding, Speakers Bureau; Eusa Pharma: Honoraria; Novartis: Consultancy, Honoraria; Kyowa Kirin: Consultancy; Incyte: Consultancy, Honoraria; Lilly: Consultancy; ADC Therapeutics America: Consultancy; Miltenyi: Consultancy; Ideogen: Consultancy; Abbvie: Consultancy; BeiGene: Consultancy, Honoraria, Other: TRAVEL, ACCOMODATIONS, EXPENSES, Speakers Bureau; invivo scribe (IVS): Patents & Royalties. Ribera:Pfizer: Consultancy, Research Funding; Novartis: Consultancy; AMGEN: Research Funding; Takeda: Consultancy; Bristol Myers Squibb: Consultancy; Incyte: Consultancy, Research Funding.
